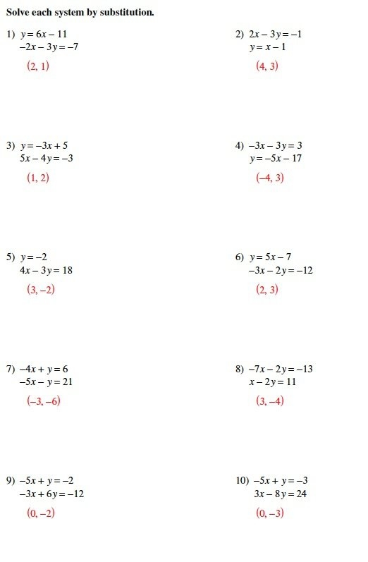
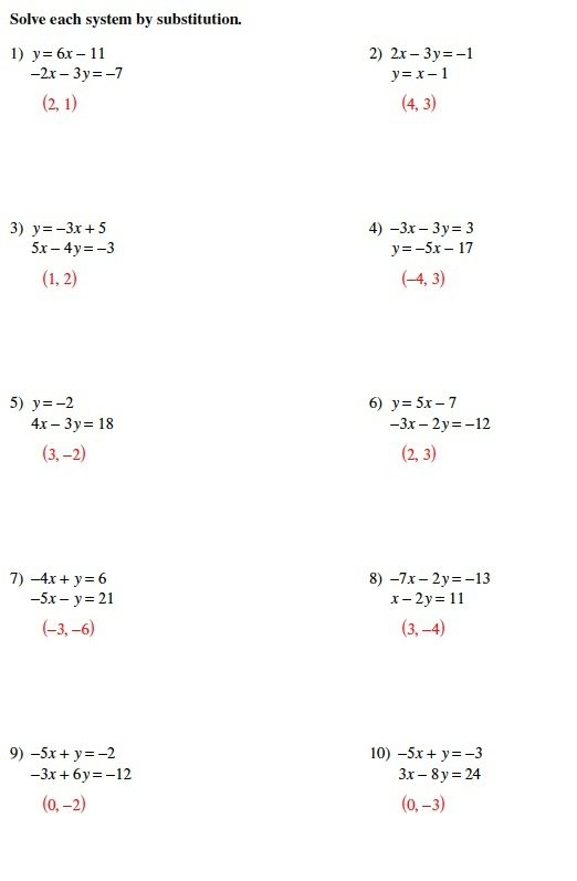
Systems Of Equations Substitution Worksheet

Systems of equations substitution worksheet is a valuable tool for students to practice solving systems of equations using the substitution method. This method involves solving one equation for a variable and then substituting that expression into the other equation to find the value of the other variable. It is a systematic approach that can be used to find the solutions to systems of equations efficiently.

Students often find the substitution method to be a helpful strategy when solving systems of equations because it allows them to focus on one variable at a time. By isolating a variable in one equation and substituting it into the other equation, students can easily solve for the remaining variable. This method is particularly useful when one of the equations is already solved for a variable, making it easy to substitute into the other equation.

Solving Systems Of Equations By Substitution Worksheets Math MonksSystems Of Equations Substitution Worksheet

When using a systems of equations substitution worksheet, students are typically given a set of equations to solve. They are asked to identify which variable to solve for first, substitute that expression into the other equation, and then solve for the remaining variable. This process helps students practice the steps involved in the substitution method and strengthens their understanding of how to apply it to different types of equations.

By working through multiple problems on a systems of equations substitution worksheet, students can improve their problem-solving skills and gain confidence in solving systems of equations. They can also develop a deeper understanding of how to manipulate equations and use substitution as a problem-solving strategy. This practice can be especially beneficial for students who struggle with algebraic concepts and need additional support in mastering these skills.

In conclusion, systems of equations substitution worksheets are a valuable resource for students to practice solving systems of equations using the substitution method. By working through a variety of problems, students can strengthen their problem-solving skills, improve their understanding of algebraic concepts, and gain confidence in solving systems of equations. These worksheets provide a structured approach to practicing the substitution method and can help students develop a systematic approach to solving complex equations.


Systems Of Equations Substitution Worksheet Substitution Method Free Systems Of Equations Substitution Worksheet Substitution Method Free

Easily Download and Print Systems Of Equations Substitution Worksheet

Solving Systems Of Equations By Substitution Worksheets Math MonksSolving Systems Of Equations By Substitution Worksheets Math Monks

Solving Systems Of Equations By Substitution Worksheets Math MonksSolving Systems Of Equations By Substitution Worksheets Math Monks

Solving Systems Of Equations By Substitution WorksheetsSolving Systems Of Equations By Substitution Worksheets

Try using Systems Of Equations Substitution Worksheet and see how a quick solution can bring big results with Systems Of Equations Substitution Worksheet.