Coterminal Angles Degree And Radian Worksheet

Coterminal angles are angles that have the same initial and terminal sides, but differ in magnitude by a multiple of 360 degrees. Understanding coterminal angles is essential in trigonometry and calculus, as they help simplify calculations and solve problems more efficiently.

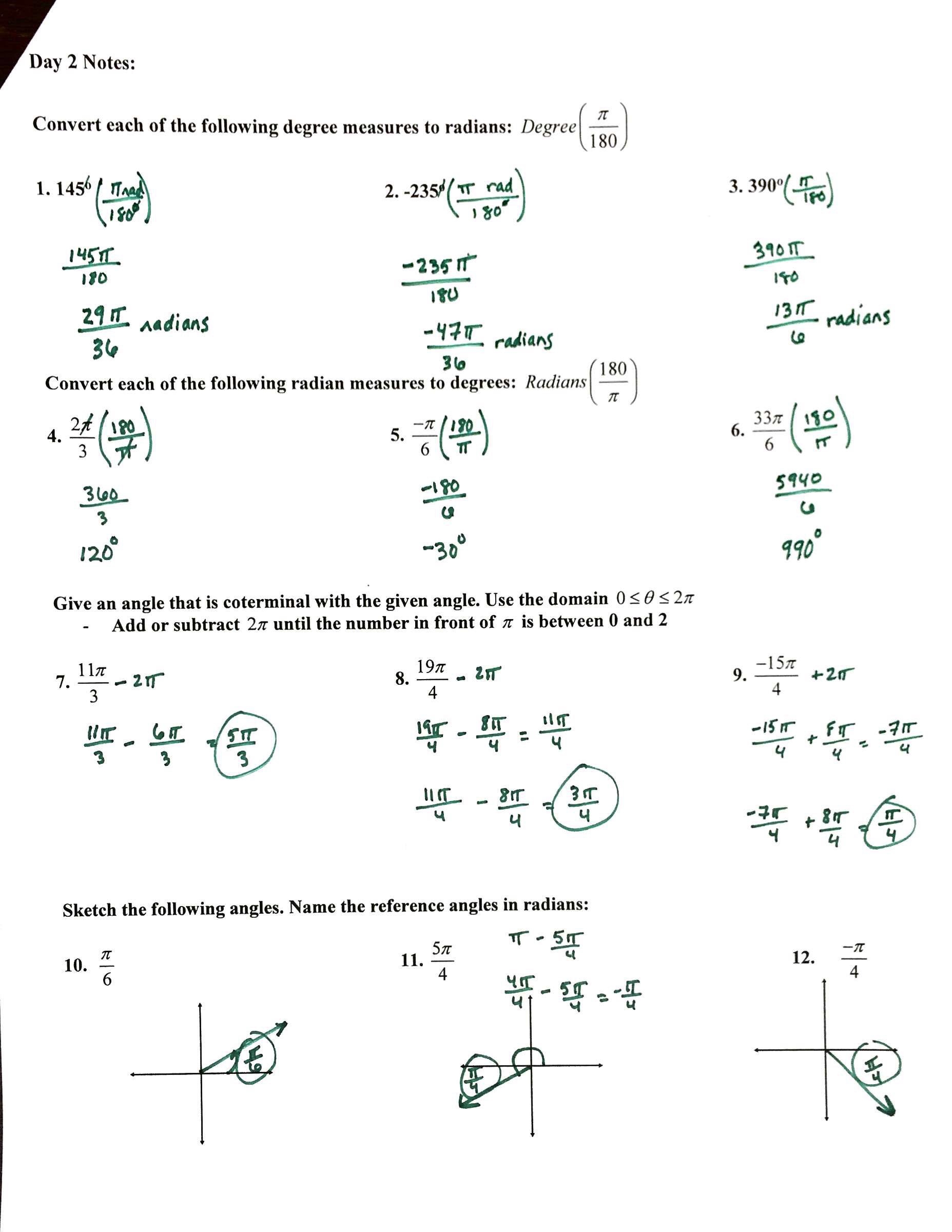
In this Coterminal Angles Degree And Radian Worksheet, you will practice identifying coterminal angles, converting between degrees and radians, and applying trigonometric functions to find coterminal angles in different quadrants.

Radian And Degree Measures For Angles Worksheet Answers Radian And Degree Measures For Angles Worksheet Answers

Download and Print Coterminal Angles Degree And Radian Worksheet Listed below

Coterminal Angles Degree And Radian Worksheet are ready-made digital files that you can download, print, and use to streamline different parts of your life. They’re widely used because they help you work faster, are simple to apply, and support better control of their daily tasks. Whether for individual needs, education, or work, printable templates offer a useful and cost-effective solution.

50 Radians And Degrees Worksheets For 11th Year On Quizizz Free 50 Radians And Degrees Worksheets For 11th Year On Quizizz Free

50 Radians And Degrees Worksheets On Quizizz Free Printable 50 Radians And Degrees Worksheets On Quizizz Free Printable

Worksheet 8 Radian And Degree Measures For Angles Draw An Worksheet 8 Radian And Degree Measures For Angles Draw An

Worksheet 8 Radian And Degree Measures For Angles Draw An Worksheet 8 Radian And Degree Measures For Angles Draw An

These templates come in various formats like .pdf, Word, .xlsx, and graphic formats. You can find everything from organizers, calendars, checklists, meal plans, and even work-related templates like billing forms, and payment records. Many people also use templates for special occasions like marriage ceremonies or social gatherings, and instructors often rely on them for schoolwork tracking.

Why Use Coterminal Angles Degree And Radian Worksheet?

– Time-Saving: No need to start from scratch.
– Organized Living: Stay on top of tasks, events, and deadlines.
– Budget-Friendly: Many templates are free or very affordable.
– Customizable: You can edit them to suit your style or needs.
– Digital or Printable: Use them on your device or print them out.

Coterminal Angles Degree And Radian Worksheet are a smart, easy, way to improve your daily routine. They help you stay organized, lower your stress levels, and improve your time management. Whether you’re taking care of your home, operating a small company, or just looking to boost productivity, templates can make a big difference.

Start exploring Coterminal Angles Degree And Radian Worksheet and discover how a quick solution can make a huge impact.